library(tidyverse)
library(tidymodels)
library(xgboost)
library(bonsai)
library(treesnip)
library(catboost)
library(earth)
library(baguette)
library(dataxray)
library(finetune)
library(fastDummies)
library(themis)
library(probably)
library(corrr)
library(janitor)
library(dlookr)
library(DataExplorer)
library(mice)
library(skimr)
library(here)
library(gt)
library(DT)
library(patchwork)Introduction
Youth unemployment and under-employment is a major concern for any developing country, and serves as an important predictor of economic health and prosperity. Being able to predict, and understand, which young people will find employment and which ones will require additional help, helps promote evidence-based decision-making, supports economic empowerment, and allows young people to thrive in their chosen careers.
The objective of this challenge is to build a machine learning model that predicts youth employment, based on data from labour market surveys in South Africa.
This solution will help organisations like Predictive Insights achieve a baseline prediction of young peoples’ employment outcomes, allowing them to design and test interventions to help youth make a transition into the labour market or to improve their earnings.
Data
The data for this challenge comes from four rounds of a survey of youth in the South African labour market, conducted at 6-month intervals. The survey contains numerical, categorical and free-form text responses. You will also receive additional demographic information such as age and information about school level and results.
Each person in the dataset was surveyed one year prior (the ‘baseline’ data) to the follow-up survey. We are interested in predicting whether a person is employed at the follow-up survey based on their labour market status and other characteristics during the baseline.
The training set consists of one row or observation per individual - information collected at baseline plus only the Target outcome (whether they were employed or not) one year later. The test set consists of the data collected at baseline without the Target outcome.
The objective of this challenge is to predict whether a young person will be employed, one year after the baseline survey, based on their demographic characteristics, previous and current labour market experience and education outcomes, and to deliver an easy-to-understand and insightful solution to the data team at Predictive Insights.
Load libraries and data sets
The dimensions of our training set are: 4020 21
The dimensions of the testing set are: 1934 20
The table below gives us a quick view at the training dataset.
Data Exploration
I am going to explore the training and testing sets to uncover any potential quality issue.
| Name | df_train |
| Number of rows | 4020 |
| Number of columns | 21 |
| _______________________ | |
| Column type frequency: | |
| character | 9 |
| Date | 1 |
| numeric | 11 |
| ________________________ | |
| Group variables | None |
Variable type: character
| skim_variable | n_missing | complete_rate | min | max | empty | n_unique | whitespace |
|---|---|---|---|---|---|---|---|
| person_id | 0 | 1.00 | 13 | 13 | 0 | 4020 | 0 |
| status | 0 | 1.00 | 5 | 22 | 0 | 7 | 0 |
| geography | 0 | 1.00 | 5 | 6 | 0 | 3 | 0 |
| province | 0 | 1.00 | 7 | 13 | 0 | 9 | 0 |
| math | 3023 | 0.25 | 8 | 10 | 0 | 7 | 0 |
| mathlit | 2667 | 0.34 | 8 | 10 | 0 | 7 | 0 |
| additional_lang | 2002 | 0.50 | 9 | 10 | 0 | 6 | 0 |
| home_lang | 3639 | 0.09 | 9 | 10 | 0 | 6 | 0 |
| science | 3288 | 0.18 | 8 | 10 | 0 | 7 | 0 |
Variable type: Date
| skim_variable | n_missing | complete_rate | min | max | median | n_unique |
|---|---|---|---|---|---|---|
| survey_date | 0 | 1 | 2021-08-11 | 2023-03-27 | 2022-09-03 | 79 |
Variable type: numeric
| skim_variable | n_missing | complete_rate | mean | sd | p0 | p25 | p50 | p75 | p100 | hist |
|---|---|---|---|---|---|---|---|---|---|---|
| round | 0 | 1.00 | 3.13 | 0.98 | 1 | 2 | 3 | 4 | 4 | ▁▃▁▃▇ |
| tenure | 1394 | 0.65 | 582.88 | 621.22 | 0 | 95 | 395 | 819 | 3560 | ▇▂▁▁▁ |
| matric | 1008 | 0.75 | 0.85 | 0.36 | 0 | 1 | 1 | 1 | 1 | ▂▁▁▁▇ |
| degree | 1831 | 0.54 | 0.08 | 0.27 | 0 | 0 | 0 | 0 | 1 | ▇▁▁▁▁ |
| diploma | 1809 | 0.55 | 0.08 | 0.27 | 0 | 0 | 0 | 0 | 1 | ▇▁▁▁▁ |
| schoolquintile | 1661 | 0.59 | 2.70 | 1.32 | 0 | 2 | 3 | 4 | 5 | ▆▆▇▃▃ |
| female | 0 | 1.00 | 0.56 | 0.50 | 0 | 0 | 1 | 1 | 1 | ▆▁▁▁▇ |
| sa_citizen | 0 | 1.00 | 1.00 | 0.02 | 0 | 1 | 1 | 1 | 1 | ▁▁▁▁▇ |
| birthyear | 0 | 1.00 | 1997.46 | 4.38 | 1972 | 1995 | 1999 | 2000 | 2004 | ▁▁▂▃▇ |
| birthmonth | 0 | 1.00 | 5.34 | 3.81 | 1 | 1 | 5 | 9 | 12 | ▇▃▂▃▃ |
| target | 0 | 1.00 | 0.27 | 0.44 | 0 | 0 | 0 | 1 | 1 | ▇▁▁▁▃ |
Is there any duplicate observation?
# A tibble: 0 × 22
# ℹ 22 variables: person_id <chr>, survey_date <date>, round <dbl>,
# status <chr>, tenure <dbl>, geography <chr>, province <chr>, matric <dbl>,
# degree <dbl>, diploma <dbl>, schoolquintile <dbl>, math <chr>,
# mathlit <chr>, additional_lang <chr>, home_lang <chr>, science <chr>,
# female <dbl>, sa_citizen <dbl>, birthyear <dbl>, birthmonth <dbl>,
# target <dbl>, dupe_count <int>
No duplicated value.
Let us have a glimpse of our training data set
Rows: 4,020
Columns: 21
$ person_id <chr> "Id_eqz61wz7yn", "Id_kj5k3g5wud", "Id_9h0isj38y4", "Id…
$ survey_date <date> 2022-02-23, 2023-02-06, 2022-08-08, 2022-03-16, 2023-…
$ round <dbl> 2, 4, 3, 2, 4, 4, 4, 4, 4, 4, 3, 2, 1, 1, 2, 1, 3, 2, …
$ status <chr> "studying", "unemployed", "other", "unemployed", "stud…
$ tenure <dbl> NA, 427, NA, 810, NA, NA, 1826, 462, 273, 1859, NA, 73…
$ geography <chr> "Rural", "Suburb", "Urban", "Urban", "Urban", "Rural",…
$ province <chr> "Mpumalanga", "North West", "Free State", "Eastern Cap…
$ matric <dbl> 1, 1, 1, NA, NA, NA, 1, 0, 1, NA, 1, 1, 1, 0, 1, 1, 1,…
$ degree <dbl> 0, 0, 0, NA, NA, NA, 0, 0, NA, NA, NA, NA, NA, NA, NA,…
$ diploma <dbl> 0, 0, 0, NA, NA, NA, 0, 0, NA, NA, NA, NA, NA, NA, NA,…
$ schoolquintile <dbl> 3, 1, NA, NA, NA, NA, 2, 3, 1, NA, 2, 1, 4, 1, NA, 3, …
$ math <chr> "0 - 29 %", "30 - 39 %", "30 - 39 %", NA, NA, NA, "30 …
$ mathlit <chr> NA, NA, NA, NA, NA, NA, NA, NA, NA, NA, NA, NA, NA, NA…
$ additional_lang <chr> "50 - 59 %", "40 - 49 %", "40 - 49 %", NA, NA, NA, "60…
$ home_lang <chr> NA, NA, NA, NA, NA, NA, NA, NA, NA, NA, NA, NA, NA, NA…
$ science <chr> "0 - 29 %", "30 - 39 %", "30 - 39 %", NA, NA, NA, "40 …
$ female <dbl> 1, 1, 0, 0, 1, 1, 1, 0, 0, 0, 1, 1, 0, 0, 0, 1, 0, 0, …
$ sa_citizen <dbl> 1, 1, 1, 1, 1, 1, 1, 1, 1, 1, 1, 1, 1, 1, 1, 1, 1, 1, …
$ birthyear <dbl> 2000, 1989, 1996, 2000, 1998, 1996, 2000, 1997, 2000, …
$ birthmonth <dbl> 5, 4, 7, 1, 12, 12, 1, 1, 1, 4, 9, 3, 9, 12, 12, 11, 5…
$ target <dbl> 0, 1, 1, 0, 0, 0, 0, 0, 0, 1, 1, 0, 1, 0, 0, 1, 1, 1, …
Let us first do some data cleaning as the nature and formatting of the data can influence the results of some EDA search.
0 = No: Person is unemployed
1 =Yes: Person is employed
### Train data
train_cleaned <- df_train %>%
mutate(target = as.factor(case_when(
target == 0 ~ "No",
target == 1 ~ "Yes",
TRUE ~ NA), ordered = FALSE)) %>%
mutate_at(c(8:10), ~ as.factor(case_when(.== 0 ~ "No",
.== 1 ~ "Yes",
TRUE ~ NA), ordered = FALSE)) %>%
mutate_if(is.character, as.factor, ordered = FALSE) %>%
mutate(gender = as.factor(case_when(
female == 1 ~ "F",
female == 0 ~ "M")
),
.keep = "unused", ordered = FALSE) %>%
mutate_at(c(3,11), as.factor, ordered = FALSE) %>%
mutate(Year_survey = year(survey_date), .keep = "unused") %>%
mutate(age = Year_survey - birthyear) %>%
select(-c(sa_citizen,person_id))
### Test data
test_cleaned <- df_test %>%
mutate_at(c(8:10), ~ as.factor(case_when(.== 0 ~ "No",
.== 1 ~ "Yes",
TRUE ~ NA), ordered = FALSE)) %>%
mutate_if(is.character, as.factor, ordered = FALSE) %>%
mutate(gender = as.factor(case_when(
female == 1 ~ "F",
female == 0 ~ "M")
),
.keep = "unused", ordered = FALSE) %>%
mutate_at(c(3,11), as.factor, ordered = FALSE) %>%
mutate(Year_survey = year(survey_date), .keep = "unused") %>%
mutate(age = Year_survey - birthyear) %>%
select(-c(sa_citizen,person_id)) What are some quality issues observed in numerical data ?
How does the target variable relate to the status variable?

How do variables correlate?
Here I convert all factor variable to numerical variables and then apply correlation for further investigation.
below is a tibble of correlation values larger and lower than 0.25 based on the `pearson` correlation.
Key findings:
Those who perform well in
Mathare correlated to those who performed well inHome_language.There is a high correlation between the missing values under
degreeanddiploma; but also those inmatric.There is a strong correlation in the performance in
ScienceandMathas seen in the above table.

How does holding whether a post-matric qualification (diploma and/or a degree) influence the unemployment rate?

We observe a clear relationship between the two distribution from the degree and diploma holders.

We observe that not only most of our observations come from urban areas and those from rural and suburb areas are minority in this study.

Feature Engineering
Some feature engineering that I want to apply and see the results on the performance:
Reduce the levels in the
statusvariable and remain with 3 levels instead of 7; same with thegeographyvariable to remain with only 2 geographical areas instead of the 3 we currently have;As both the
matricanddegreevariables follow the same distribution, combine them into a single one or only select one namelypost-matric;Both
MathandMathlithave a high percentage of NAs, 75% and 66% respectively. However, most of the time, whenever an instance has a value in one, it doesn’t have in the other. So I will combine both variables intomathwhich should reduce/remove the number NAs while reducing the number of feature;I will also do the same for the variable
additional_langandhome_lang;Furthermore, I will group marks into 2 : fail and pass.
As for the
schoolquintilevariable, we know from research that could separate them into two groups: non-fee schools (Q1, Q2, and Q3) and affluent schools (Q4 and Q5).Levels in
statuscan be grouped together to only form 4 distinct levels: unemployed, employed(wage employed, self employed, wage and self employed, and employment programme), student, and other.
So let’s us do it!
## TRAIN set feature engineering -------------------------
train <- train_cleaned %>%
mutate(math = as.factor(case_when(
is.na(math) & is.na(mathlit) ~ NA,
is.na(math) & !is.na(mathlit) ~ mathlit,
!is.na(math) & is.na(mathlit) ~ math,
TRUE ~ paste(math, mathlit)
)), .keep = "unused", ordered = FALSE) %>%
mutate(math =as.factor(case_when(
math %in% c("0 - 29 %","30 - 39 %","40 - 49 %") ~ "fail",
math %in% c("50 - 59 %","60 - 69 %",
"70 - 79 %","80 - 100 %") ~ "pass")), ordered = FALSE) %>%
mutate(language = as.factor(case_when(
is.na(home_lang) & is.na(additional_lang) ~ NA,
is.na(home_lang) & !is.na(additional_lang) ~ additional_lang,
!is.na(home_lang) & is.na(additional_lang) ~ home_lang,
TRUE ~ paste(home_lang, additional_lang)
)), .keep = "unused", ordered = FALSE) %>%
mutate(language = as.factor(case_when(
language %in% c("30 - 39 %","40 - 49 %") ~ "fail",
language %in% c("50 - 59 %","60 - 69 %","70 - 79 %",
"80 - 100 %") ~ "pass"
)), ordered = FALSE) %>%
mutate(geography = as.factor(case_when(
geography == "Urban" ~ "Urban",
geography == "Rural" ~ "Rural",
geography == "Suburb" ~ "Rural")), ordered = FALSE) %>%
mutate(post_matric = as.factor(case_when(
is.na(degree) & is.na(diploma) ~ NA,
is.na(degree) & !is.na(diploma) ~ diploma,
!is.na(degree) & is.na(diploma) ~ degree,
degree == "Yes" & diploma == "Yes" ~ "Yes",
degree == "No" & diploma == "No" ~ "No",
degree == "Yes" & diploma == "No" ~ "Yes",
degree == "No" & diploma == "Yes" ~ "Yes"))
,.keep = "unused", ordered = FALSE) %>%
mutate(schoolquintile = as.factor(case_when(
schoolquintile == "0" ~ NA_character_,
schoolquintile %in% c("1", "2", "3") ~ "no_fee",
schoolquintile %in% c("4", "5") ~ "affluent"
)), ordered = FALSE) %>%
mutate(status = as.factor(case_when(
status == "unemployed" ~ "unemployed",
status == "wage employed" ~ "employed",
status == "self employed" ~ "employed",
status == "wage and self employed" ~ "employed",
status == "employment programme" ~ "employed",
status == "studying" ~ "student",
status == "other" ~ "other"
)), ordered = FALSE) %>%
select(target, everything()) %>%
mutate(target = fct_rev(target)) %>%
select(-c("birthmonth", "birthyear", "Year_survey"))
## TEST set feature engineering -----------------------
test <- test_cleaned %>%
mutate(math = as.factor(case_when(
is.na(math) & is.na(mathlit) ~ NA,
is.na(math) & !is.na(mathlit) ~ mathlit,
!is.na(math) & is.na(mathlit) ~ math,
TRUE ~ paste(math, mathlit)
)), .keep = "unused", ordered = FALSE) %>%
mutate(math =as.factor(case_when(
math %in% c("0 - 29 %","30 - 39 %","40 - 49 %") ~ "fail",
math %in% c("50 - 59 %","60 - 69 %",
"70 - 79 %","80 - 100 %") ~ "pass")), ordered = FALSE) %>%
mutate(language = as.factor(case_when(
is.na(home_lang) & is.na(additional_lang) ~ NA,
is.na(home_lang) & !is.na(additional_lang) ~ additional_lang,
!is.na(home_lang) & is.na(additional_lang) ~ home_lang,
TRUE ~ paste(home_lang, additional_lang)
)), .keep = "unused", ordered = FALSE) %>%
mutate(language = as.factor(case_when(
language %in% c("30 - 39 %","40 - 49 %") ~ "fail",
language %in% c("50 - 59 %","60 - 69 %","70 - 79 %",
"80 - 100 %") ~ "pass"
)), ordered = FALSE) %>%
mutate(geography = as.factor(case_when(
geography == "Urban" ~ "Urban",
geography == "Rural" ~ "Rural",
geography == "Suburb" ~ "Rural")), ordered = FALSE) %>%
mutate(post_matric = as.factor(case_when(
is.na(degree) & is.na(diploma) ~ NA,
is.na(degree) & !is.na(diploma) ~ diploma,
!is.na(degree) & is.na(diploma) ~ degree,
degree == "Yes" & diploma == "Yes" ~ "Yes",
degree == "No" & diploma == "No" ~ "No",
degree == "Yes" & diploma == "No" ~ "Yes",
degree == "No" & diploma == "Yes" ~ "Yes"))
,.keep = "unused", ordered = FALSE) %>%
mutate(schoolquintile = as.factor(case_when(
schoolquintile == "0" ~ NA_character_,
schoolquintile %in% c("1", "2", "3") ~ "no_fee",
schoolquintile %in% c("4", "5") ~ "affluent"
)), ordered = FALSE) %>%
mutate(status = as.factor(case_when(
status == "unemployed" ~ "unemployed",
status == "wage employed" ~ "employed",
status == "self employed" ~ "employed",
status == "wage and self employed" ~ "employed",
status == "employment programme" ~ "employed",
status == "studying" ~ "student",
status == "other" ~ "other"
)), ordered = FALSE) %>%
select(-c("birthmonth", "birthyear", "Year_survey"))Let us now re-examine our newly engineered dataset:
How are the missing value looking like now:

We can see that the
sciencevariable ought to be removed as it is mostly missing in the data set.We have to deal with the
schoolquintilevariable which is missing 43% of the time as well asmatricandtenurevariables. Or maybe just make use of a model robust to missing values.

We observe that we have more people in no-fee schools than in affluent schools, but also that the ratio of unemployment is way bigger in no-fee schools than the affluent schools.
What variables are skewed?
[1] "tenure" "age"
Using the package DataExplorer, I impute NAs in tenure, schoolquintile, matric, language, math, and post_matric variables through the `mice` method:
schoolquintile_imputed <- imputate_na(train,
schoolquintile,
target,
method = "mice",
seed = 2024)
tenure_imputed <- imputate_na(train,
tenure,
target,
method = "mice",
seed = 2024)
matric_imputed <- imputate_na(train,
matric,
target,
method = "mice",
seed = 2024)
language_imputed <- imputate_na(train,
language,
target,
method = "rpart"
)
math_imputed <- imputate_na(train,
math,
target,
method = "mice",
seed = 2024)
post_matric_imputed <- imputate_na(train,
post_matric,
target,
method = "mice",
seed = 2024)p1 <- plot(schoolquintile_imputed) + ggtitle("School quintile")
p2 <- plot(matric_imputed) + ggtitle("Matric")
p3 <- plot(math_imputed) + ggtitle("Math")
p4 <- plot(tenure_imputed) + ggtitle("Tenure")
p5 <- plot(language_imputed) + ggtitle("Language")
p6 <- plot(post_matric_imputed) + ggtitle("Post matric")
p1
p2
p3
p4
p5
p6
Modeling
Now we can start with the modeling phase.
Define models
### LOGISTIC REGRESSION ---------------
lr_spec <- logistic_reg(mixture = tune(), penalty = tune()) %>%
set_engine("glmnet") %>%
set_mode("classification")
### CatBoost ---------------
cat_spec <- boost_tree(trees = 1000,
min_n = tune(),
learn_rate = tune(),
tree_depth = tune()
) %>%
set_engine("catboost", nthread = 4) %>%
set_mode("classification")
### Random forest---------------
rf_spec <-
rand_forest(
mtry = tune(),
min_n = tune(),
trees = 1000
) %>%
set_mode("classification") %>%
set_engine("ranger")
### SUPPORT VECTOR MACHINE ---------------
svm_spec <- svm_rbf("classification",
cost = tune(),
rbf_sigma = tune(),
margin = tune()) %>%
set_engine("kernlab")
### MARS Model -------------------
bag_spec <- bag_mars("classification",
num_terms = tune(),
prod_degree = tune()) %>%
set_engine("earth")Now I will write some recipes
Define recipes
library(themis)
#### Data budget ------------
## Bind imputed variables to the original training data
train_full <- train %>%
mutate(language_imputed = language_imputed,
math_imputed = math_imputed,
matric_imputed = matric_imputed,
post_matric_imputed = post_matric_imputed,
schoolquintile_imputed = schoolquintile_imputed,
tenure_imputed = tenure_imputed)
### We have both imputed and non-imputed variables
set.seed(2024)
splits <- initial_split(train_full, strata = target)
training <- training(splits)
testing <- testing(splits)
##### training folds ----------
set.seed(2024)
folds <- bootstraps(training, times = 30)
### Basic recipe: ----------
## Full imputation,
## Dummify,
## transform,
## normalize,
## upsample imbalance
basic_rec <- recipe(target ~., data = training) %>%
step_rm(post_matric,math,language,matric,
tenure,schoolquintile,science) %>%
step_dummy(all_nominal_predictors(),
-all_outcomes()) %>%
step_nzv(all_predictors()) %>%
step_YeoJohnson(c("tenure_imputed","age")) %>%
step_corr(all_numeric_predictors(),threshold = tune("cor_thresh_base")) %>%
step_normalize(all_numeric_predictors(),
-all_outcomes()) %>%
step_smote(target, over_ratio = 0.8)
## Making sure the recipe works as intended
# basic_rec %>% prep(training) %>% juice()Models training
Now we train our models
### Elastic net workflow
lr_wflow <- workflow() %>%
add_model(lr_spec) %>%
add_recipe(basic_rec)
set.seed(2024)
lr_grid <- lr_wflow %>%
parameters() %>%
grid_latin_hypercube(size = 25)
### Random forest workflows
rf_wflow <- workflow() %>%
add_model(rf_spec) %>%
add_recipe(basic_rec)
set.seed(2024)
rf_params <- rf_wflow %>%
parameters(
mtry(range = c(1, 10)),
trees(range = c(100, 500)),
min_n(range = c(1, 10))
)
rf_params <- finalize(rf_params, training)
rf_grid <- grid_latin_hypercube(rf_params, size = 25)
### CATBOOST
cat_wflow <- workflow() %>%
add_model(cat_spec) %>%
add_recipe(basic_rec)
cat_param <-
cat_wflow %>%
parameters() %>%
update(
min_n = min_n(c(1, 10)),
learn_rate = learn_rate(c(0.02, 0.2)),
tree_depth = tree_depth(c(4,10))
)
### SVM
svm_wflow <- workflow() %>%
add_model(svm_spec) %>%
add_recipe(basic_rec)
set.seed(2024)
svm_grid <- svm_wflow %>%
parameters() %>%
grid_latin_hypercube(size = 25)
### MARS
mars_wflow <- workflow() %>%
add_model(bag_spec) %>%
add_recipe(basic_rec)
set.seed(2024)
mars_grid <- mars_wflow %>%
parameters() %>%
grid_latin_hypercube(size = 25)We have 8 cores at our disposal:
system
8
Now we do the actual tuning:
##### WORKFLOW ------------
library(bonsai)
library(doParallel)
metric <- metric_set(roc_auc,mn_log_loss, accuracy)
set.seed(2024)
registerDoMC(cores = max(1, availableCores() - 1))
### Elastic net --
lr_results <- lr_wflow %>%
tune_race_anova(resamples = folds,
grid = lr_grid,
control = control_race(
verbose = TRUE,
verbose_elim = TRUE,
save_pred = TRUE,
save_workflow = TRUE,
parallel_over = "everything"))
### Random forest --
rf_results <- rf_wflow %>%
tune_grid(resamples = folds,
grid = rf_grid,
metrics = metric,
control = control_grid(verbose = TRUE,
save_pred = TRUE,
save_workflow = TRUE,
parallel_over = "everything"))
### CatBoost ---
catBoost_results <- cat_wflow %>%
tune_bayes(resamples = folds,
param_info = cat_param,
initial = 5,
iter = 30,
metrics = metric,
control = control_bayes(verbose = TRUE,
save_pred = TRUE,
save_workflow = TRUE,
parallel_over = "everything"))
### Mars ---
registerDoMC(cores = max(1, availableCores() - 1))
mars_results <- mars_wflow %>%
tune_race_anova(resamples = folds,
grid = mars_grid,
control = control_race(
verbose = TRUE,
verbose_elim = TRUE,
save_pred = TRUE,
save_workflow = TRUE,
parallel_over = "everything"))
### Support Vector Machine ----
svm_results <- svm_wflow %>%
tune_race_anova(resamples = folds,
grid = svm_grid,
control = control_race(
verbose = TRUE,
verbose_elim = TRUE,
save_pred = TRUE,
save_workflow = TRUE,
parallel_over = "everything"))# A tibble: 5 × 2
models names
<list> <chr>
1 <race[+]> elastic
2 <tune[+]> rf
3 <tune[+]> catBoost
4 <race[+]> mars
5 <race[+]> svm
Let us analyse the results
Elastic net results
# A tibble: 4 × 9
penalty mixture cor_thresh_base .metric .estimator mean n std_err .config
<dbl> <dbl> <dbl> <chr> <chr> <dbl> <int> <dbl> <chr>
1 4.23e-8 0.167 0.997 roc_auc binary 0.790 30 0.00220 Prepro…
2 9.93e-6 0.230 0.957 roc_auc binary 0.790 30 0.00220 Prepro…
3 2.28e-5 0.382 0.587 roc_auc binary 0.790 30 0.00220 Prepro…
4 3.69e-7 0.294 0.691 roc_auc binary 0.790 30 0.00220 Prepro…


Not bad at all, we that we are approaching 80% of ROC_AUC mostly using 20 to 30 folds resamples. Maybe experimenting on increasing the number of folds.
Random Forest results
# A tibble: 5 × 9
mtry min_n cor_thresh_base .metric .estimator mean n std_err .config
<int> <int> <dbl> <chr> <chr> <dbl> <int> <dbl> <chr>
1 13 30 0.610 roc_auc binary 0.820 30 0.00234 Preprocess…
2 15 32 0.669 roc_auc binary 0.819 30 0.00236 Preprocess…
3 12 15 0.587 roc_auc binary 0.817 30 0.00233 Preprocess…
4 9 18 0.803 roc_auc binary 0.817 30 0.00235 Preprocess…
5 7 27 0.773 roc_auc binary 0.816 30 0.00246 Preprocess…

Above 15 random selected predictor, the model’s perfomance starts to decrease and the performance increases when the correlation threshold is above 50%.
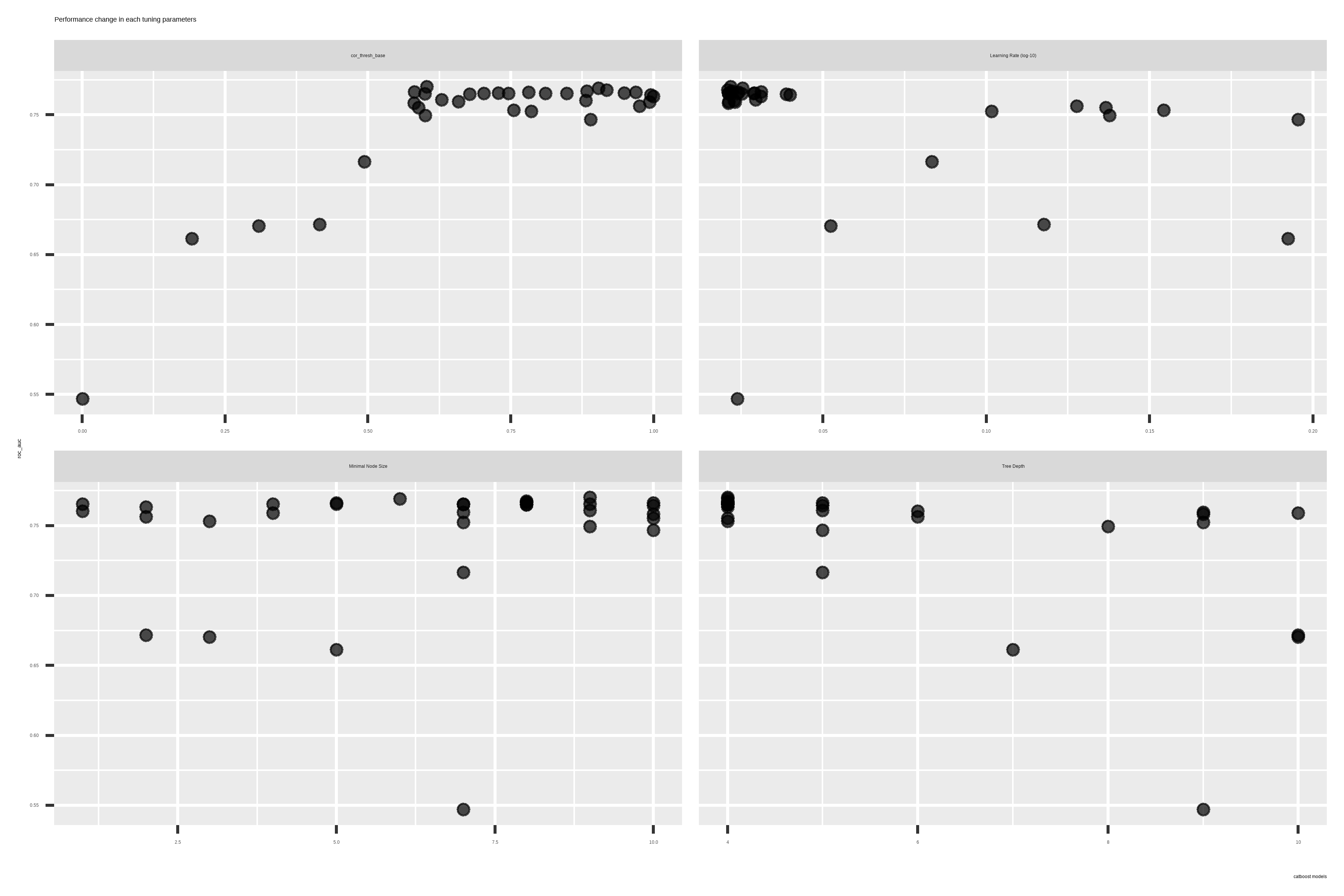
CatBoost results
# A tibble: 5 × 11
min_n tree_depth learn_rate cor_thresh_base .metric .estimator mean n
<int> <int> <dbl> <dbl> <chr> <chr> <dbl> <int>
1 9 4 1.05 0.603 roc_auc binary 0.770 30
2 6 4 1.06 0.903 roc_auc binary 0.769 30
3 8 4 1.05 0.918 roc_auc binary 0.768 30
4 8 4 1.05 0.883 roc_auc binary 0.767 30
5 8 4 1.07 0.581 roc_auc binary 0.766 30
# ℹ 3 more variables: std_err <dbl>, .config <chr>, .iter <int>


I had so much expectation for the catboost, however maybe further tuning may be required.
MARS results
# A tibble: 2 × 9
num_terms prod_degree cor_thresh_base .metric .estimator mean n std_err
<int> <int> <dbl> <chr> <chr> <dbl> <int> <dbl>
1 4 1 0.548 roc_auc binary 0.730 30 0.00484
2 5 1 0.255 roc_auc binary 0.721 30 0.00286
# ℹ 1 more variable: .config <chr>


SVM results
# A tibble: 1 × 10
cost rbf_sigma margin cor_thresh_base .metric .estimator mean n std_err
<dbl> <dbl> <dbl> <dbl> <chr> <chr> <dbl> <int> <dbl>
1 3.11 0.000567 0.198 0.921 roc_auc binary 0.778 30 0.00252
# ℹ 1 more variable: .config <chr>

Ensemble model: Stacking
Now we will build an ensemble model using the stack package from tidymodels:
data_stack <- stacks() %>%
add_candidates(lr_results) %>%
add_candidates(catBoost_results) %>%
add_candidates(mars_results) %>%
add_candidates(rf_results) %>%
add_candidates(svm_results)
set.seed(2024)
model_stack <- data_stack %>%
blend_predictions()library(stacks)
autoplot(model_stack)
autoplot(model_stack, type = "weights")
It seems that our blending decided to only keep the random forest models.
Now we train our stack model:
set.seed(2024)
stack_results <- model_stack %>%
fit_members()
stack_resultscollect_parameters(stack_results, "rf_results")# A tibble: 25 × 6
member mtry min_n cor_thresh_base terms coef
<chr> <int> <int> <dbl> <chr> <dbl>
1 rf_results_01_1 7 27 0.773 .pred_No_rf_results_01_1 0
2 rf_results_02_1 6 7 0.997 .pred_No_rf_results_02_1 0
3 rf_results_03_1 17 37 0.473 .pred_No_rf_results_03_1 0
4 rf_results_04_1 19 39 0.0180 .pred_No_rf_results_04_1 0
5 rf_results_05_1 4 21 0.870 .pred_No_rf_results_05_1 0
6 rf_results_06_1 20 19 0.326 .pred_No_rf_results_06_1 0
7 rf_results_07_1 15 13 0.548 .pred_No_rf_results_07_1 0
8 rf_results_08_1 9 18 0.803 .pred_No_rf_results_08_1 0
9 rf_results_09_1 17 26 0.180 .pred_No_rf_results_09_1 0
10 rf_results_10_1 3 24 0.117 .pred_No_rf_results_10_1 0
# ℹ 15 more rows
Let us test our stack
set.seed(2024)
stack_test_pred <- testing %>%
bind_cols(predict(stack_results, testing, type = "prob"))
roc <- stack_test_pred %>%
roc_auc(truth = target, .pred_Yes) %>%
rename(metric = .metric, estimator = .estimator, estimate = .estimate) roc# A tibble: 1 × 3
metric estimator estimate
<chr> <chr> <dbl>
1 roc_auc binary 0.828
Voilà! This project showcased that sometimes we do not need to look for ensemble models when we already have a super-saiyen model “The random forest”.
We could still try to finetune our random forest and try to squeeze out even more for an optimal value, but the winning solution was 0.86% ROC-AUC, and having 0.83% (0.8278) in our first trial is not bad at all.
Thank you for making it until the end, see you next time.